Published: May 1, 2017 by The PISM Authors

| Title | Physical analysis of an Antarctic ice core–towards an integration of micro- and macrodynamics of polar ice |
| Authors | I. Weikusat and others |
| Venue | Philos. Trans. Roy. Soc. A |
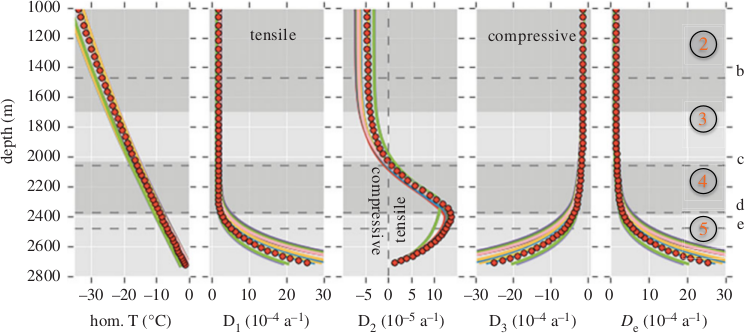
Sometimes what you need from an ice sheet model is a context for your measurements. In this paper ice microstructure (crystal orientation, grain size/shape), visual stratigraphy, and borehole tilt were measured in the EDML core drilled in Dronning Maud Land, Antarctica. Microstructures reflect the dynamic conditions of the location as well as its thermodynamic history, and determine rheological effects. PISM was used to generate the flow field and temperatures at depth at the ice core site from the large-scale geometry of the ice sheet and surface inputs. The details of structural observations were evaluated using principal strain rates from PISM, with comparison to with borehole logging data. This comparison confirms the division of the core into five depth regions (figure) and in turn provides a wider view of the ice sheet.